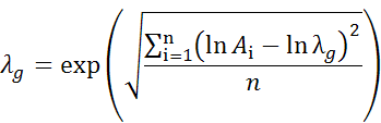
Geometric Standard Deviation

The Geometric standard deviation describes how spread out are a set of numbers whose preferred average is the Geometric mean.

If the geometric mean of a set of numbers {A1, A2, ..., An} is denoted as , then the geometric standard deviation is: