Sichel’s t estimator

Sichel’s t estimator is another measure of the mean of log-normally distributed data. It is derived using maximum likelihood theory and corrects for the bias in the Ln mean if the number of samples is small.

is called Sichel’s gamma and is defined below.

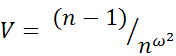
is called Sichel’s V and is defined below.

 

Sichel’s V

Sichel’s is a measure of the spread of the data and is defined as:

Sichel’s gamma

Sichel’s gamma is a bias correction factor and is calculated from a complex equation.